-
[6주차 - Day4] ML_basics - Linear Algebra교육/프로그래머스 인공지능 데브코스 2021. 6. 4. 17:52728x90
뗴잉 수학싫어잉
1. 기본표기법(Basic Notation)

m행 n열을 가진 행렬 
n개의 원소를 가진 벡터 
벡터 x의 i번째 원소들 
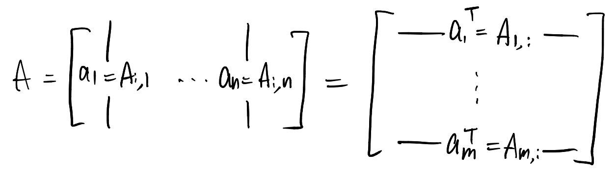
행렬 A의 i번째 행, j번째 열에 있는 원소들 
A의 j번째 열/A의 i번째 행 import numpy as np x=np.array([1.2,3.4,5.6,7.8]) x.shape #>>(4,) 1차원 배열 x #>>array([1.2, 3.4, 5.6, 7.8]) i=2 x[i] #>>5.6 #차원증가(2차원 배열) np.expand_dims(x,axis=1).shape #>>(4,1) np.expand_dims(x,axis=1) ''' >>array([[1.2], [3.4], [5.6], [7.8]]) ''' A=np.array([ [10,20,30], [40,50,60] ]) A ''' >>array([[10, 20, 30], [40, 50, 60]]) ''' A.shape #>>(2,3) i=0 j=2 A[i,j] #>>30 #Column Vector j=1 A[:,j] #>>array([20, 50]) #Row Vector i=1 A[i,:] #>>array([40, 50, 60])2. 행렬의 곱셈(Matrix Multiplication)

1. 벡터*벡터(Vector-Vector Products)
내외적 정의 : https://wikidocs.net/22384

import numpy as np x=np.array([1,2,3]) y=np.array([4,5,6]) x.dot(y) #>>32 y.dot(x) #>>32
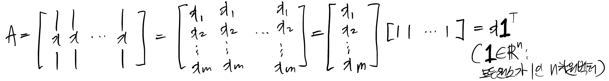
x=np.expand_dims(x,axis=1) y=np.expand_dims(y,axis=0) x.shape, y.shape #>>((3,1),(1,3)) np.matmul(x,y) ''' >>array([[ 4, 5, 6], [ 8, 10, 12], [12, 15, 18]]) '''외적이 유용한 경우
아래 행렬 A는 모든 열들이 동일한 벡터 x를 가지고 있음 외적을 이용하면 간편하게 나타낼 수 있다

#column vector x=np.expand_dims(np.array([1,2,3]),axis=1) x ''' >>array([[1], [2], [3]]) ''' ones=np.ones([1,4]) #ones()원소가 모두 1인 행렬반환 ones #>>array([[1., 1., 1., 1.]]) A=np.matmul(x,ones) A ''' >>array([[1., 1., 1., 1.], [2., 2., 2., 2.], [3., 3., 3., 3.]]) '''2. 행렬*벡터(Matrix-Vector Products)
열벡터를 오른쪽에 곱하고 A가 행의 형태로 표현

A=np.array([ [1,2,3], [4,5,6] ]) A ''' >>array([[1, 2, 3], [4, 5, 6]]) ''' ones=np.ones([3,1]) ones ''' >>array([[1.], [1.], [1.]]) ''' np.matmul(A, ones) ''' >>array([[ 6.], [15.]]) '''열벡터를 오른쪽에 곱하고 A가 열의 형태로 표현

A=np.array([ [1,0,1], [0,1,1] ]) x=np.array([ [1], [2], [3] ]) np.matmul(A,x) ''' >>array([[4], [5]]) ''' for i in range(A.shape[1]): print('a_'+str(i)+':',A[:,i],'x_'+str(i)+':',x[i], 'a_'+str(i)+'*x_'+str(i)+':',A[:,i]*x[i]) ''' >>a_0: [1 0] x_0: [1] a_0*x_0: [1 0] a_1: [0 1] x_1: [2] a_1*x_1: [0 2] a_2: [1 1] x_2: [3] a_2*x_2: [3 3] '''행벡터를 왼쪽에 곱하고 A가 열의 형태로 표현

행벡터를 왼쪽에 곱하고 A가 행의 형태로 표현

3. 행렬*행렬(Matrix-Matrix Products)
일련의 벡터*벡터 연산으로 표현하는 경우
1. A가 행으로 B가 열로 표현

2. A가 열로 B가 행으로 표현

일련의 행렬*벡터 연산으로 표현하는 경우
1. B가 열로 표현

2. A가 행으로 표현

3. 중요 연산과 성질들(Operations and Properties)
1. 정방(Square), 삼각(Triangular), 대각(diagonal), 단위(identity) 행렬들
- 정방행렬(square matrix) : 행과 열의 개수가 동일
- 삼각행렬(triangualr matrix)
- 상삼각행렬(upper triangular matrix) : 정방행렬이며 주 대각선 아래 원소들이 모두 0
- 하삼각행렬(lower triangular matrix) : 정방행렬이며 주 대각선 위 원소들이 모두 0
- 대각행렬(diagonal matrix) : 정방행렬이며 주대각선 제외 모든 원소가 0
- 단위행렬(identity matrix) : 대각행렬이며 주대각선 원소들이 모두 1 I로 표시
#대각행렬 #diag()를 사용해서 대각행렬 생성가능 np.diag([4,5,6]) ''' >> array([[4, 0, 0], [0, 5, 0], [0, 0, 6]]) ''' #diag함수에 행렬을 전달하면 주대각선 값들을 얻을 수 있음 D=np.array([ [1,2,3], [4,5,6], [7,8,9] ]) np.diag(D) ''' >>array([1, 5, 9]) '''#단위행렬 #eye()를 사용하면 원하는 크기의 단위행렬 생성가능 np.eye(3) ''' >> array([[1., 0., 0.], [0., 1., 0.], [0., 0., 1.]]) '''2. 전치(Transpose)
행렬을 전치하는 것=행렬을 뒤집는 것

다음의 성질들이 성립

#T속성을 사용해서 전치행렬을 구할 수 있음 A=np.array([ [1,2,3], [4,5,6] ]) A.T ''' >> array([[1, 4], [2, 5], [3, 6]]) '''3. 대칭행렬(Symmetic Matrices)
정방행렬 A가 A의 전치행렬과 동일할 때 대칭행렬이라고 함
정방행렬 A가 -(A의 전치행렬)과 동일할 때 반대칭행렬(anti-symmetric matrices)이라고 함
- 정방행렬*정방행렬의 전치행렬=항상 대칭행렬
- 정방행렬+정방행렬의 전치행렬=대칭
- 정방행렬-정방행렬의 전치행렬=반대칭

'교육 > 프로그래머스 인공지능 데브코스' 카테고리의 다른 글
[7주차 - Day1] ML_basics - Probability Distributions (Part 1) (0) 2021.06.08 [6주차 - Day5] ML_basics - 실습 (0) 2021.06.08 [6주차 - Day3] ML_basics - E2E (0) 2021.06.04 [6주차 - Day2] ML_basics - Decision Theory & Linear Regression (0) 2021.06.01 [6주차 - Day1] ML_basics - Probability (0) 2021.06.01