-
2주차 - Day1. 인공지능 수학 - 선형대수교육/프로그래머스 인공지능 데브코스 2021. 5. 13. 13:21728x90
참고 : Jupyter Notebook 시작하기
포맷시키지말걸^^,,,학교다닐때 다 깔려있었는데 밀어버려서 이렇게 귀찮은 일이ㅎ,,,
무시하고 코랩으로 계속 달리려다가 웹이랑 연동하는 부분에서 코랩은 import ngrok을 써서 주소를 만들어냈더니 코드를 바꿀 때마다 가상환경 웹주소가 계속 새로고침되는 바람에 postman에 주소바뀔때마다 전부 복붙하기 귀찮아서 걍 주피터깐다 눙물,,
1. python 3.9.5버전 설치 환경변수 설정하기 귀찮으니까 add 어쩌구 포함해서 설치하기
2. cmd 창에서 아래 명령어 입력
pip3 install jupyter3. successfully 어쩌구 나오면 설치 다 된 거 jupyter notebook 입력해서 실행시켜보기
선형대수의 목표 : 어떤 연립 일자 방정식, 즉, 선형시스템을 정형적인 방법으로 표현하고 해결하는 방법을 배우는 것
선형시스템의 구성요소
1)Lindear Equations(선형 방정식)
2)Unknowns(미지수)(=variable)
m*n Linear System
m개의 linear equations와 n개의 unknowns로 구성된 연립 일차 방정식
ex)3*3 linear system
3x + y + z = 4 - E1
x - 2y - z = 1 - E2
x + y + z = 2 - E3
Linear System의 대수적 표현
Ax=b로 표현하기
- 선형 시스템의 unknowns(미지수)를 모아 column vector(열벡터) x로 표현
- 선형 시스템의 linear equation(선형 방정식)에 대해 다음을 수행
- coefficients(계수)를 모아 A의 row vector(행벡터)로 표현
- constant(상수)를 모아 b에 표현

선형시스템의 해
- 해가 1개인 경우(unique solution) ex)3x=6
- 해가 없는 경우(no solution) ex)0x=6
- 해가 여러개인 경우(infinitely many solutions) ex)0x=0
- a=0이면 특이하다->해가 없거나 여러개 == a의 역수가 존재하지 않는 경우, a가 특이(singular)하다고 한다
- 해가 있으면 선형 시스템이 consistent하다고 한다
- 해가 없으면 선형 시스템이 inconsistent하다고 한다
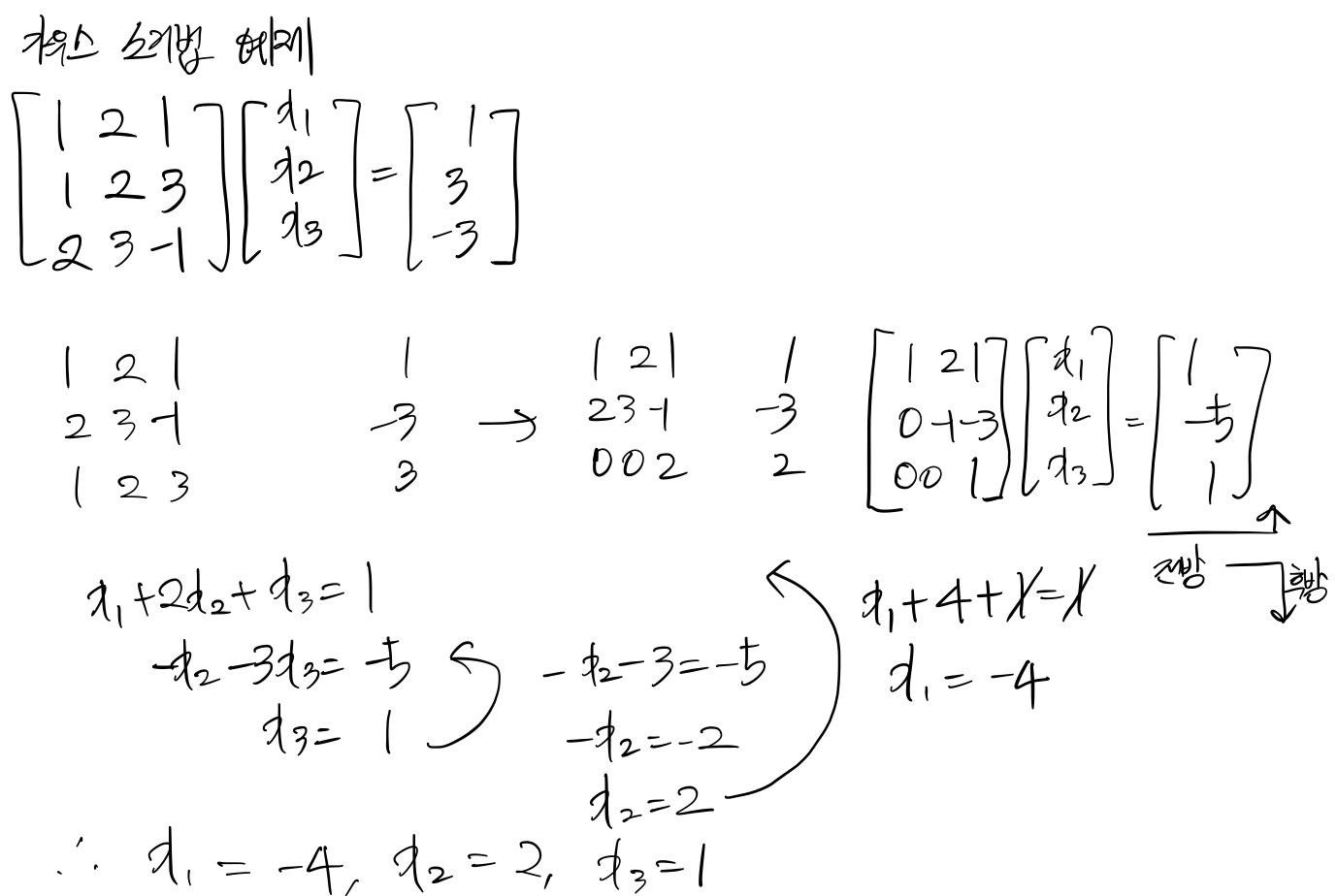
Gauss elimination(가우스 소거법)
임의의 m*n 선형 시스템의 해를 구하는 가장 대표적인 방법
- Forward elimination(전방 소거법) : 주어진 선형시스템을 아래로 갈수록 더 단순한 형태의 선형방정식을 가지도록

- back substitution(후방 대입법) : 아래에서부터 위로 미지수를 실제값으로 대체


소거법에 쓰이는 Elementary Row Operations(EROs, 기본행연산)
- Replacement(치환) : rj<-rj-m*ri
- Interchange(교환) : rj<->ri
- Scaling(스케일링) : rj<-s*rj
Forwarding(전방소거법)의 가치
- 주어진 선형시스템을 가장 풀기 쉬운 꼴로 변형
- 주어진 선형시스템의 rank(얼마나 복잡한 지)를 알려줌
- 선형시스템이 해가 있는지(consistent) 없는지(inconsistent) 알려줌
'교육 > 프로그래머스 인공지능 데브코스' 카테고리의 다른 글
3주차 - Day 1. 인공지능 수학 - 추정, 검정, 엔트로피 (0) 2021.05.13 2주차 - Day 4. 인공지능 수학 - 확률과 확률분포 (0) 2021.05.13 2주차 - Day 3. 인공지능 수학 - 자료의 정리 (0) 2021.05.13 2주차 - Day2. 인공지능 수학 - 미적분 (0) 2021.05.13 git 과제 제출 방법 (0) 2021.05.07